În ultima ședinței de Consiliu Local de la Turda, consilierii locali au aprobat stabilirea impozitelor pentru autovehiculele grele de marfă cu masa totală autorizată egală sau mai mare de 12 tone, pe anul 2022.

Prin Legea nr. 296/2020 pentru modificarea si completarea Legii nr. 227/2015 privind Codul fiscal, s-au adus completari si modificari în cazul vehiculelor grele de marfa, prin care sumele se indexează anual în funcţie de rata de schimb a monedei euro în vigoare în prima zi lucrătoare a lunii octombrie a fiecărui an şi publicată în Jurnalul Uniunii Europene şi de nivelurile minime prevăzute în Directiva 1999/62/CE de aplicare la vehiculele grele de marfă pentru utilizarea anumitor infrastructuri.

Cursul de schimb a monedei euro şi nivelurile minime, exprimate în euro, prevăzute în Directiva 1999/62/CE de aplicare la vehiculele grele de marfă pentru utilizarea anumitor infrastructuri se comunică pe site-urile oficiale ale Ministerului Finanțelor Publice şi Ministerului Lucrărilor Publice, Dezvoltării şi Administrației.

Sumele indexate se aprobă prin hotărâre a consiliului local şi se aplică în anul fiscal următor, în acest caz în anul 2022.
Rata de schimb a monedei euro în vigoare în prima zi lucrătoare a lunii octombrie aferentă anului 2021 publicată in Jurnalul National al Uniunii Europene a fost de 4,9470 lei echivalent la 1 euro.

Competenţa consiliilor locale se materializează si prin posibilitatea stabilirii de cote adiţionale la impozitele şi taxele locale, de până la 50% faţă de nivelurile maxime stabilite prin lege. Cotele adiţionale vor fi stabilite în funcţie de anumite criterii, respectiv economice, sociale, geografice precum şi de necesităţile bugetului local.
În consecință la Turda s-a aplicat o cota aditională de 3%.
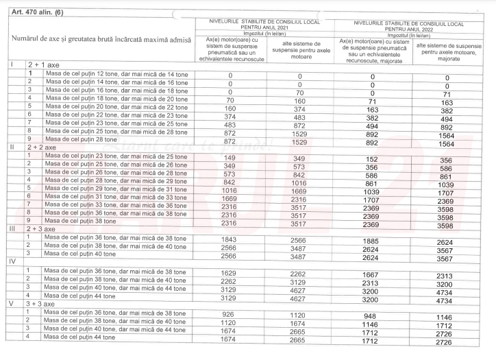
Tabloul cuprinzând nivelurile impozitelor pentru autovehiculele grele de marfă cu masa totală autorizată egală sau mai mare de 12 tone, pentru anul 2022:



În timpul ședinței, Andrei Suciu, consilier local din partea USR Plus a cerut nivelul încasărilor pentru autovehiculele grele de marfă cu masa totală autorizată egală sau mai mare de 12 tone pe anul 2021.
Răspunsul din partea executivului a fost:
Până la data 23.12.2021, de la persoane fizice și juridice suma încasată a fost de 672.000 lei din care 40% (adică 269.000 lei) a fost virată către Consiliul Județean.
















